Програмата evrofaktura.bg предоставя обработка за масово преобразуване на цени и промяна на валута на артикули, което ни позволява да правим необходимите актуализации на цените на множество артикули бързо и едновременно. По този начин обновяваме продуктите в съответствие с въвеждането на еврото като официална валута от 1 януари 2026 г.
Обработката за масова промяна на валутата и стойността на атрикулите се намира в следното меню: Отчети > Масова обработка > Склад и наличности > Масова смяна на валутата на артикулите. За да стартира тази обработка, е необходимо потребителя да има следните потребителски привилегии “Продажби – промяна, въвеждане и изтриване на артикули в списъка”.
Препоръчваме ви да направите преобразуването на цените и обмяната на валута най-късно до момента, в който трябва да бъде издаден първият документ за продажба през 2026 г.

При изчисляване на цените се прилага фиксиран обменен курс (1.95583 лева за 1 евро) и правилата за преобразуване и закръгляване от членове 4 и 5 от Регламент (ЕО) № 1103/97 до втория знак след десетичната запетая, базирани на третия знак след десетичната запетая, като се спазва методът за формиране на продажните цени, зададен в модула Настройки > Фирмени настройки > Бизнес:

Обработката за масово преобразуване на цени и промяна на валутата на артикулите позволява:
- провеждане на симулация за предварителна проверка на резултатите от обработката (без реални промени в ценоразписа и изчисленията);
- преобразуване на цени и ценоразписи по артикули, клиенти, клиентски групи и складове
- преобразуване на цените, всички допълнителни ценоразписи и калкулации
Промените, извършени от този процес, са необратими, така че е препоръчително първо да извършим процеса като симулация. Така ще можем да проверим какъв ще бъде резултатът, без да правим реално никакви промени. Ако резултатите от симулацията са подходящи, можем да стартираме процеса отново, като предварително изключим избрания по подразбиране параметър „Симулация (промените няма да бъдат запазени)“.
Можем да повторим обработката няколко пъти, като всяка допълнителна обработка включва само онези промени в артикулите, които не са били актуализирани при първоначалната обработка (например, при първоначалната обработка променихме само цените в списъка с артикули, докато при допълнителната обработка през 2026 г. потвърждаваме конвертирането и промяната на валутата и в останалите изчисления).
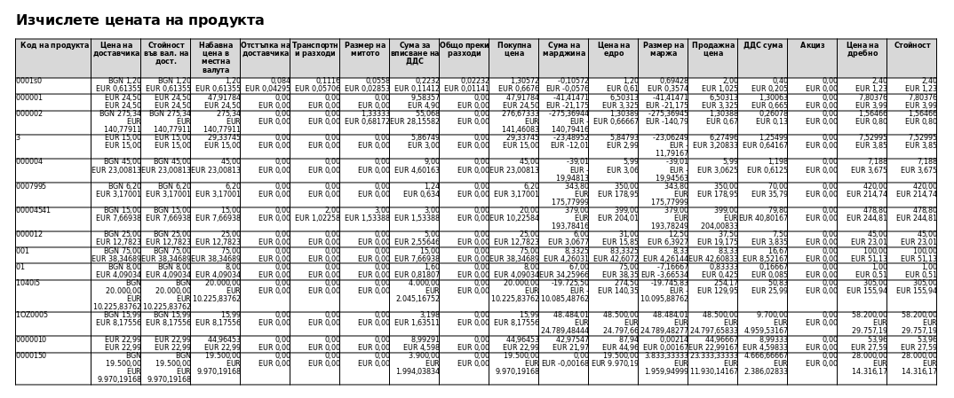
След като обработката приключи, програмата предоставя файл, който описва нагледно всички обновени артикули и тяхната стойност в лева и евро.

Освен таблица с двойно обозначаване на цената на дребно, едро и продажната цена, то програмата експортира и таблица с подробните изчисления на цените на продукта и тяхното калкулиране.

Крайният резултат от обработката са цени, ценоразписи и изчисления, отпечатани в новата официална валута:

Ако имате допълнителни въпроси относно миграцията към еврото, вижте: България и еврото.